• Skip to main content
  • Skip to secondary menu
  • Skip to primary sidebar
  • Skip to footer

Ôn thi ĐGNL

Website chia sẻ tài liệu luyện thi miễn phí

  • Trang chủ
  • Giới thiệu
  • Ôn thi đại học
    • Ôn thi Đánh giá năng lực
    • Ôn thi tốt nghiệp THPT
    • Ôn thi đánh giá tư duy
    • Tài liệu mới Update
    • Tài liệu kiến thức
  • Kiến thức
    • Toán
    • Vật Lý
    • Hóa Học
    • Ngữ Văn
    • Tiếng Anh
    • Sinh Học
  • kho tài lệu free
  • Tin tức học đường
  • Liên hệ
You are here: Home / Update mới tài liệu / 32 đề phát triển minh họa môn toán – có đáp án

32 đề phát triển minh họa môn toán – có đáp án

Tác giả Tùng Teng posted 30/03/2026

Onthidgnl chia sẻ tài liệu 32 đề phát triển minh họa môn toán – có đáp án giúp luyện thi đại học, ôn thi THPT cho các bạn học sinh cấp 3. Kéo xuống cuối bài để tải tài liệu nhé.

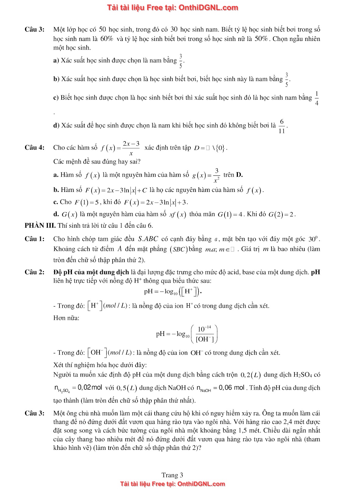
32 đề phát triển minh họa môn toán - có đáp án

Nội dung[ẩn]
  • Tải ngay 32 đề phát triển minh họa môn toán – có đáp án
  • Tải tài liệu tại đây:
  • Tải tài liệu Full hoặc đáp án tại đây ( nếu có)

Tải ngay 32 đề phát triển minh họa môn toán – có đáp án



32 đề phát triển minh họa môn toán - có đáp án

32 đề phát triển minh họa môn toán - có đáp án

32 đề phát triển minh họa môn toán - có đáp án

32 đề phát triển minh họa môn toán - có đáp án

32 đề phát triển minh họa môn toán - có đáp án

32 đề phát triển minh họa môn toán - có đáp án

Tải tài liệu tại đây:



32 đề phát triển minh họa môn toán – có đáp án

https://drive.google.com/file/d/1j9GQASR5sj8-KnuOz8UcrK4fhxl-4GRC/view?usp=drivesdk

Tải tài liệu Full hoặc đáp án tại đây ( nếu có)



https://link4m.com/4YCU5VX7
COPY XONG DÁN LINK RA TAB MỚI LÀM NHIỆM VỤ ĐỂ NHẬN TÀI LIỆU NHÉ




Theo dõi MXH của Onthidgnl nhé:

FB: https://www.facebook.com/onthidgnl

Mẹo tìm kiếm: "Từ khóa tìm kiếm + Onthidgnl.com".
Lưu ý! Kéo xuống cuối trang để tải File PDF (nếu có) nhé!

Group: https://www.facebook.com/groups/2k7onthidgnl

Threads: https://www.threads.net/@onthidgnl2k7

Instagram: https://www.instagram.com/onthidgnl2k7/

Ôn thi ĐGNL chúc các bạn đạt điểm cao trong kỳ thi sắp tới nhé!

Có thể bạn quan tâm:

  • 32 đề phát triển minh họa môn toán - có đáp án
  • 32 đề phát triển minh họa môn toán - có đáp án
  • 32 đề phát triển minh họa môn toán - có đáp án
  • 32 đề phát triển minh họa môn toán - có đáp án

Filed Under: Update mới tài liệu; Tagged With: thi đgnl

About Tùng Teng

Tôi là Tùng Teng. CEO thành lập website và là Chuyên gia nội dung với 12 năm kinh nghiệm và chịu trách nhiệm với những nội dung hữu ích mang lại.
Facebook: facebook.com/caca9x

Instagram: instagram.com/tungteng9x/

Pinterest: pinterest.com/tungteng9x/

Primary Sidebar

Tìm kiếm

Săn mã giảm giá tài liệu

Danh mục nổi bật

  • Nghị luận xã hội
  • Nghị luận văn học
  • Soạn Văn 12
    • Kết nối tri thức tập 1
    • Kết nối tri thức tập 2
    • Chân trời sáng tạo tập 1
    • Chân trời sáng tạo tập 2
    • Cánh Diều tập 1
    • Cánh Diều tập 2

FOLLOW CHÚNG TÔI

    FANPAGE:
    Facebook.com/onthidgnlcom

  • GROUP FACEBOOK
  • 2K7 Ôn thi ĐGNL, ĐGTD, Đại học 2025 - Chia sẻ Kho tài liệu miễn phí
  • KÊNH YOUTUBE:


Bài viết mới nhất

  • TỔNG ÔN LÝ THUYẾT TRỌNG TÂM THEO ĐỊNH HƯỚNG ĐÁNH GIÁ NĂNG LỰC HỌC
  • TỔNG ÔN CẤP TỐC TOÁN 12 HỌC KÌ 1 SGK MỚI ANH GIÁO KID
  • THỰC CHIẾN LUYỆN ĐỀ MÔN TIẾNG ANH 40 ĐỀ CÔ PHẠM LIỄU
  • THỰC CHIẾN LUYỆN ĐỀ MÔN HOÁ BỘ 40 ĐỀ THẦY PHẠM VĂN TRỌNG
  • HÀNH TRÌNH CHINH PHỤC BỘ ĐỀ ĐẶC SẮC TINH HOA MÔN HOÁ HỌC 50 ĐỀ THẦY

Footer

About Ôn thi ĐGNL

Onthidgnl.com là website chia sẻ miễn phí các kiến thức học tập, thông tin về Ôn thi THPT, đại học, luyện thi đánh giá năng lực của các trường.
Liên hệ:
Phone: 0862902394
Địa chỉ: P. Nguyễn Thị Thập, Trung Hoà, Cầu Giấy, Hà Nội
Mail: info@onthidgnl.com

Chuyên mục chính

  • Kiến thức Toán Học
  • Kiến thức Vật Lý
  • Kiến thức Hóa Học
  • Kiến thức Ngữ Văn

Copyright © 2026 · Onthidgnl.com
Sitemap | Giới thiệu | Liên hệ | Chính sản bảo mật | Điều khoản và điều kiện

Deal Hot